飞鹅墓园关于2026年第一季度墓位认购工作的通知
为满足我区群众购买墓位安葬先人的需求,墓园经对目前剩余可开发的边角地等资源进行整理,根据此前制定的分季度分批推出的销售计划,墓园管理处将在近期推出2026年第一季度墓位。现将相关情况通报如下:
一、2026年第一季度推出墓位情况
2026年第一季度将推出墓位共80穴,其中蛇山一区4穴、蛇山二区67穴、A区3穴、B区6穴,并继续按照“分批推出,客户凭证预登记、按顺序分批通知办理”的原则向社会公开销售,本批次墓位推出前将通过墓园的官网、微信公众号及在墓园办公楼服务大厅向社会公告公示,完全做到公开、公平和公正。
后续每个季度推出墓位的数量(不含上季度剩余数量)将继续分季度公布,每批墓位整理推出前,墓园将通过墓园的官网、微信公众号及在墓园办公楼服务大厅张贴通告等方式向社会公示。
二、认购资格
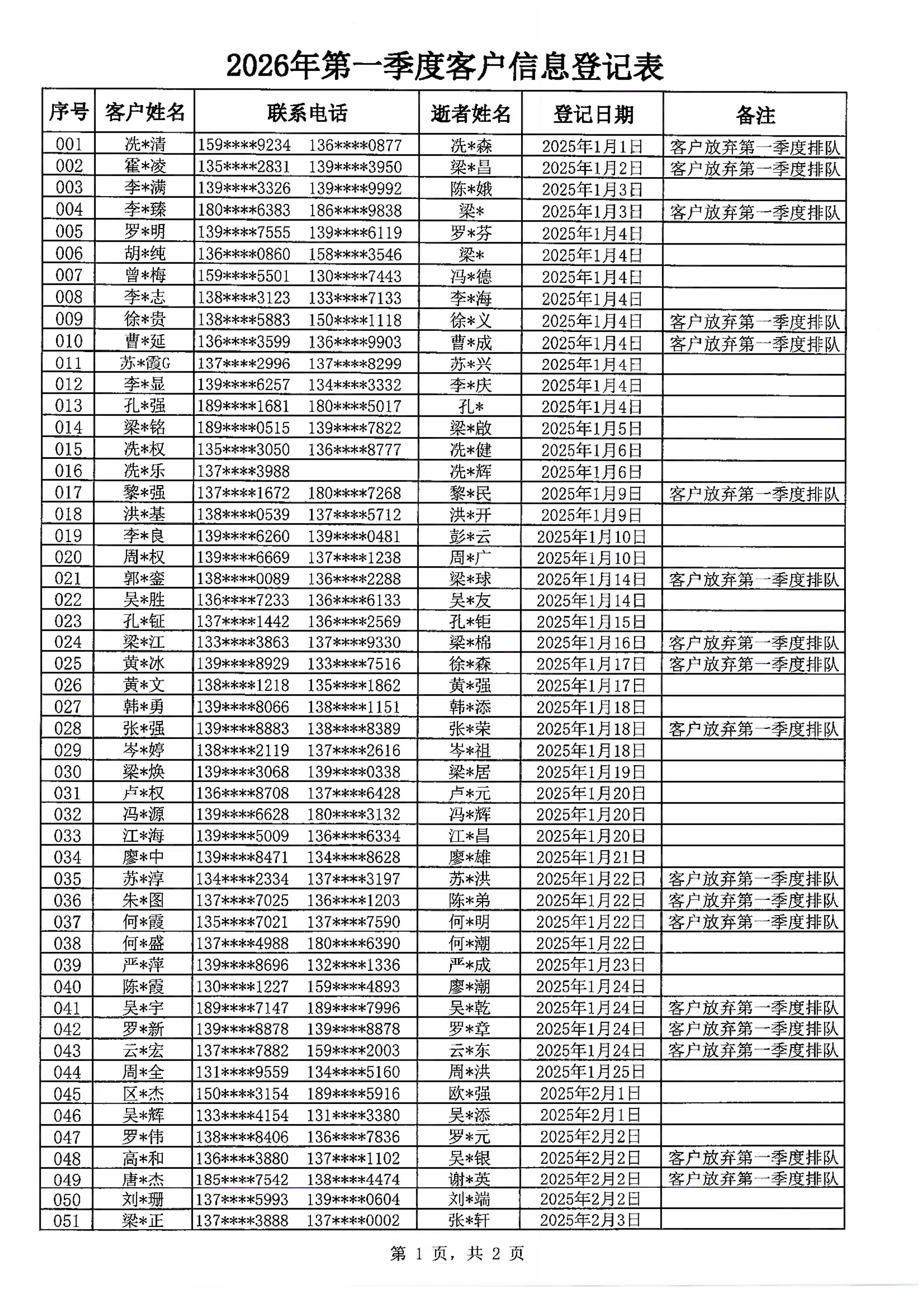
根据2026年1月19日统计的2026年第一季度墓位认购需求的预登记情况,共有80名客户进行了2026年第一季度墓位的需求预登记,其中有27名放弃2026年第一季度排队(其序号不计入2026年第一季度排队序列),实际有效排队人数为53人。根据墓园此前公布的预登记流程,该53名客户符合优先认购2026年第一季度推出墓位的资格,具体名单见附件。
本季度墓园预登记的客户全部消化完毕后,若有墓位剩余,只允许此前已预登记后续季度墓位的客户凭预登记的顺序号单通过现场抽签的形式提前选择该部分剩余墓位,具体抽签时间另行通知。已成功选位的客户不再参与原预登记季度的墓位选购。此前未进行预登记的客户不能参加抽签和选位,只能预登记后续季度墓位。
三、具体流程
墓园管理处将在本通知发布的三天内,按照登记顺序电话通知已预登记的客户,接到电话的客户请于2026年1月22日起,按照墓园工作人员通知的时间凭租用墓位选位顺序号单、经办人(持证人)身份证、逝者户口簿、持证人与逝者的关系证明、逝者死亡证或火化证到墓园认购墓位。被通知但无故不到现场办理手续的客户视为放弃购买墓位(经3次电话通知联系不上的客户亦视为放弃),若要购买墓位须重新进行预登记。另外,没选到合适墓位未达成购买意向的客户若要继续购买墓位,亦须重新进行预登记。
四、其他要说明的情况
- 客户可凭自2023年11月13日起签发的且在本墓园及周边墓园均未办理过任何墓位、骨灰位租用手续的死亡证或火化证在墓园租用墓位(包括预登记未售墓位)。
- 由于墓位资源不足,且墓位规格及价格不一,墓园不保证所推出的墓位能够完全满足每个预登记客户的需求,若客户需求较急,建议可选择存量较多的骨灰格位葬及不受空间限制的生态树葬等安葬形式。
- 若因不可抗力因素和特殊情况(包括但不限于自然灾害、政策变化等)造成墓位无法如期开发推出的,墓园将及时通知预登记客户,并有权取消此次墓位销售事项,对于通知未明确事项,或者有异议事项,最终解释权归本园所有。
- 附件:2026年第一季度预登记客户信息登记表
佛山市顺德区飞鹅永久墓园管理处
2026年1月19日

